世良情感网

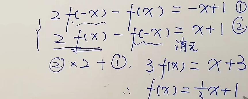
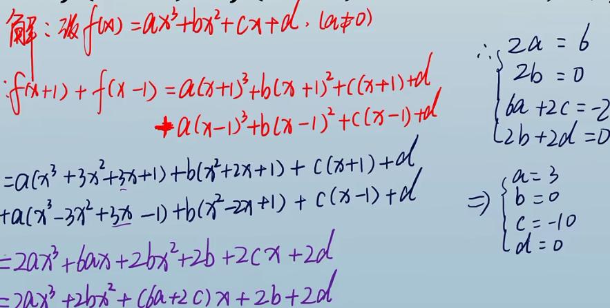
待定系数法和解方程组法求f(x)的解析式。

桐瑞漫说小姐姐 2026-01-05 15:26:09

待定系数法和解方程组法求f(x)的解析式。

0 阅读:0

猜你喜欢

翻译正确✅

翻译正确✅

摸出四文大钱 2026-01-06

教育在此刻形成了闭环​​​

教育在此刻形成了闭环​​​

亲情
送男孩的小外卖 2026-01-05

初一数学竞赛试题共19页最后一页发在评论区这是初中数竞的常规难度奥数小丛

初一数学竞赛试题共19页最后一页发在评论区这是初中数竞的常规难度奥数小丛

【7点赞】

数学 中小学
数学放大镜 2026-01-06

唏,可以和解吗

唏,可以和解吗

【20评论】【1点赞】

梗图
金规泙 2025-12-28

初中数学几何全等之魂-截长补短

初中数学几何全等之魂-截长补短

【7点赞】

初中数学 中考 中小学
教数学的陈师傅 2026-01-06

北大孙仲团队一篇论文,直接让美国人费尽心思搞的光刻机封锁,成了一堵漏风的墙。人

北大孙仲团队一篇论文,直接让美国人费尽心思搞的光刻机封锁,成了一堵漏风的墙。人

北大 光刻机
提剑赴雪中 2026-01-07

大学生网上校招有什么好的平台?校招!校招!大学毕业生找工作校招是就业率最高的

大学生网上校招有什么好的平台?校招!校招!大学毕业生找工作校招是就业率最高的

【1点赞】

大学生 就业 招聘 大学生就业网
吉祥如意 2026-01-05

一场华人数学家的大会,硬是给整成了黑色幽默。本是全球华人数学大佬的主场,结

一场华人数学家的大会,硬是给整成了黑色幽默。本是全球华人数学大佬的主场,结

数学
琪琪随笔 2026-01-05
桐瑞漫说小姐姐

桐瑞漫说小姐姐

感谢大家的关注

作者最新文章

1
神仙般的日子。
2
同学聚会过分了,不顾两个家庭对方的感受。
3
山东省大联考2026届高三上学期12月月考数学和湖南省长沙市一中高三12月月考(
4
山东省大联考2026届高三上学期12月月考数学和湖南省长沙市一中高三12月月考(
5
下面这道高一数学题,你会做吗?
6
构造函数的8种方式。
7
配合默契,一家子其乐融融。
8
待定系数法和解方程组法求f(x)的解析式。
9
你相信眼缘吗?
10
青春活力 。

热门分类

推荐 热榜 军事 NBA 体育 社会 明星八卦 娱乐 财经 科技 汽车 历史 国际 游戏 动漫 公益 搞笑 商业 互联网 数码 国际足球 房产 家居 时尚 科学探索 职场 育儿 股票 教育 影视 情感 热点 中国军情 武器 中国南海 中国足球 亚洲杯 科比 综合体育 CBA 投资 大咖秀 外汇 创业 风口 SUV 豪车 概念车 优惠 新能源 美国 欧洲 朝日韩 俄罗斯 孕期 街拍 婚姻 正能量

© CopyRight 2010-2026 世良情感网(yaliqi.com)

粤ICP备2022088160号 邮箱:181046773#qq.com

声明:部分文章摘自互联网,如有侵权,麻烦告知删除。