世良情感网
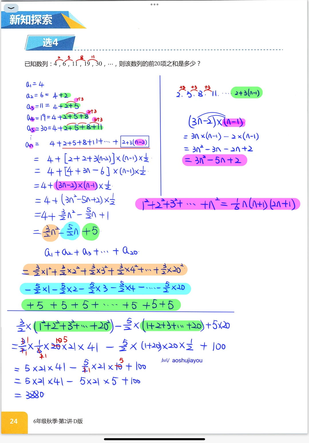
《计算综合》六年级奥数总复习
盼夏奥数
2026-01-15 00:03:04
0
阅读:0
盼夏奥数
感谢大家的关注
作者最新文章
1
几何复习笔记
2
立体图形体积综合 六年级奥数综合复习
3
费马小定理 证明
4
圆的面积 求阴影面积 六年级数学笔记
5
三角形数表 六年级奥数创新班课堂笔记
6
利用数形结合法巧算 四年级寒假创新班奥数
7
切片法和染色法求体积和表面积 五年级创新
8
阴影面积是多少
9
几何模型 小学奥数创新班课堂笔记
10
《计算综合》六年级奥数总复习
热门分类
推荐
热榜
军事
NBA
体育
社会
明星八卦
娱乐
财经
科技
汽车
历史
国际
游戏
动漫
公益
搞笑
商业
互联网
数码
国际足球
房产
家居
时尚
科学探索
职场
育儿
股票
教育
影视
情感
热点
中国军情
武器
中国南海
中国足球
亚洲杯
科比
综合体育
CBA
投资
大咖秀
外汇
创业
风口
SUV
豪车
概念车
优惠
新能源
美国
欧洲
朝日韩
俄罗斯
孕期
街拍
婚姻
正能量
教育
TOP
1
校园抓拍,初中学妹
2
这是我同事写的字,是体育老师,他的字可行说在当地整个教育系统都排得上名次。写的不
3
4人宿舍怎么分?
4
这样的寝室有没有住过?
5
看了看牢A讲的女留学生经历,实在是辣眼。牢A说,一般女留学生在国内都是乖乖女,去
6
现在的乡镇学生为什么越来越难教?
7
留学生一张肛裂就诊单火遍全网,网友笑翻:这融入海外的代价也太大了!就一个简单的病
8
不同学历工资收入第一名:博士学历(工资50000)第二名:硕士学历(工资4
9
后悔最努力的那一年拿去考研了
10
国内“三通一达”是圆通、申通、中通和韵达,可到了国外,部分留学女孩口中竟衍生出“
教育
最新文章
1
韦神,官宣了!2月1日,学术圈传来大好消息,北大数学科学学院,官宣一个重磅消
2
又一个小学女校长主动投案了!刚刚刷到阳江市江城第十三小学的女校长雷月香,东窗事
3
北京下死命令了!2027年底前,所有中小学必须一律取消1月14号,北京教育
4
放假返程的广州街头,黄埔某中学的学生火了!家长没能来接,没有行李箱的他,就用绳子
5
发现一个特别奇怪的现象!现在的女护士、女教师、女医生、女公务员,还有银行的女职员
6
广州小学生放假,把“宿舍”背回了家!刷到这一幕直接笑喷了!广州长洲地铁站里
7
学校有一对双职工教师,女教师退休了,到一所民办学校去任教,男教师要后退五年,仍在
8
重庆有家长称孩子初一入学的时候,家委会负责人就收取了500元的费用,其中到了教师
9
家委会收260元寒假大礼包说是大礼包,大概率就是4本寒假作业。家长质疑收
10
北京下死命令了!2027年底前,所有中小学必须一律取消... 1月14号,北