正弦定理&余弦定理综合大练兵

王总结高中 2025-04-17 11:33:16

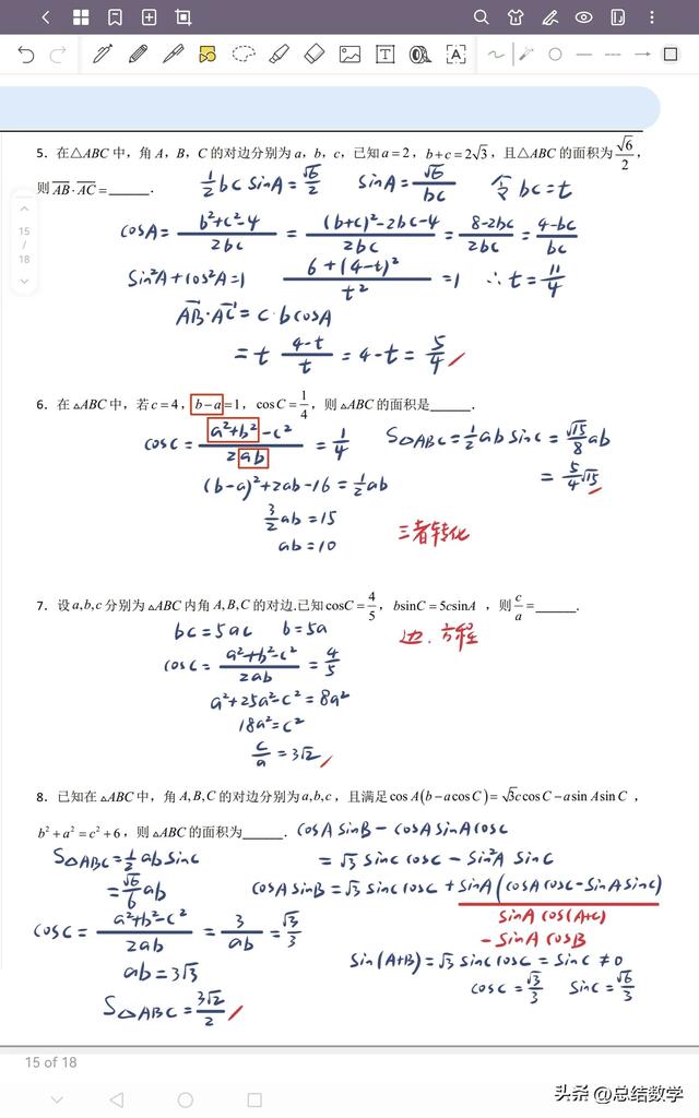
在数学和物理中,正弦定理和余弦定理是两个极其重要的定理,尤其在处理与三角形相关的问题时。它们不仅在数学领域有着广泛的应用,还在物理、工程和其他科学技术领域中发挥着不可或缺的作用。​​​相关练习题,持续更新中​

0 阅读:1
王总结高中

王总结高中

感谢大家的关注