本文分为两个单元,第一单元是名家名作选读,第二单元是我的读后感。

巧解民间算术题——变化中保不变
中国民间流传很多有趣的算术题,比如,下面就是一个:
【例2】100个人吃100个馒头,其中大人每人吃3个,小孩每3人吃1个,大人、小孩各多少个?
分析与解答:如果用算术方法解,可以考虑下面的解法:
先将要求放宽,只要求人数与馒头数相等,不要求都是100.很容易凑出一个满足这个条件的方案:让1个大人与3个小孩同在一桌,共是4个人,吃4个馒头,人数与馒头数相等,假定摆很多桌子,每张桌子都同样坐1个大人3个小孩,4个人吃4个馒头,则所有桌子的总人数与总的馒头数由4人和4个馒头同时扩大相同的倍数得到,人数与馒头数相等,只需算一算要摆多少桌子才能让人数达到100,则所吃的馒头数也达到100.每桌4人,100人就需要100÷4=25桌.25桌就是25个大人,75个小孩,
【例3】100条鱼100斤,大鱼每条10斤,中鱼每条1斤,小鱼每条1两、大、中、小鱼各多少条?
话说斤两
斤、两是在推行公制单位之前中国使用的度量单位,1斤等于16两,1/16斤就是一两,关于斤与两,有些故事值得在这里讲一讲.
我读过一本书,说的是古代帝王之谜,其中说到秦始皇靠暴力推行的东西都经受不起历史的考验,没有流传下来,并且举了"1斤=16两"作为没有留传下来的例子.我没有去考证"1斤=16两"是秦始皇规定的还是更早的时候就有的,但不用考证,我就知道"1斤=16两"直到20世纪50年代还在使用,那时我在读小学.那时的会计在进行斤两的单位换算时还需要背熟"一退六二五,二一二五,三一八七五,……"之类的口诀,"一退六二五"就是"1两=0.0625斤","二一二五"就是"2两=0.125斤"…….我父亲是会计,在我小时候也教我背过这些口诀.后来改成"1斤=10两",再后来直接用克、千克这些国际通用单位,这些口诀似乎都没有用了.但这些口诀使我背熟了分母为16以至于分母为8,4,2的分数展开成的小数:1/16=0.0625,2/16=1/8=0.125,…,直到现在对我还很有用。
"1斤=16两"从秦始皇时代(或者更早)使用到20世纪50年代,长达2000多年时间,怎么能说没有流传下来呢?这只能说明书的作者太无知,也太狂妄,自己不懂的东西不去学习了解一下,就妄发议论,自以为是天下第一,可以骂遍古今中外的人.
"1斤=16两"使用了2000多年,也渗透到中国文化中去了,还产生了一个成语:"半斤八两",按照"1斤=16两",当然就有"半斤=八两","半斤八两"就是形容两件事相等,分不出谁多谁少,谁好谁坏,谁对谁错,要是按后来的"1斤=10两"的度量制度,那就是"半斤<八两"了,现在民间就流行一个新的说法"能喝半斤喝八两",借用"半斤<八两"来形容某人喝酒超过了自己的能力。
20世纪50年代末期"1斤=16两"被废止不用,改为"1斤=10两",这是为了与十进位制相协调,使单位换算更容易掌握,减少广大群众学习和使用的困难,但从数学上说,十六进位制不见得比十进位制更差,至少它有一个优点:半斤=8两,是整数;半斤的一半=4两,仍是整数;半斤的一半的一半=2两,再求一半是1两,也都是整数,我们现在很崇拜二进位制,很为老祖宗的易经和八卦中的二进位制萌芽感到自豪,十六进位制其实也是二进位制的范畴,是四位的二进制数,为什么就不感到自豪而要说是暴力的产物呢?
另外的进位制,例如量时间和角度采用六十进位制:1小时=60分,1分=60秒.它有一个优点:1小时的½,⅓,¼,1/5,1/6分别是30分,20分,15分,12分,10分,都是整数.
而十进位制其实并没有什么特别的道理,只不过因为我们长了10个手指,人类最开始借助于手指来数数而已,但既然计数已经采用了十进位制,如果其他度量采用其他进位制,换算起来就不方便,因此尽量全部统一为十进位制确实有好处.螃蟹有8只脚,假如也进化成智能生物,发明出数学来,很可能就采用八进位制,比人类的十进位制还更先进一些
对百鱼百斤问题的分析
1条大鱼10斤,条数小于斤数;1条中鱼1斤,条数等于斤数;16条小鱼1斤,条数大于斤数.仿照例2的方法,先将大鱼与小鱼配成"一桌",让它们的条数与斤数相等,再同时扩大若干倍,条数与斤数就仍然相等,或者同时增加若干条中鱼,条数与斤数仍然保持相等,就可能凑出100条鱼100斤了。
试将1条大鱼与16条小鱼配成一"桌",看它们的总条数与总斤数是否相等?结果发现:条数=1+16=17,斤数=10+1=11.条数大于斤数,二者不相等,
为什么不相等?1条大鱼10斤,斤数比条数多9;16条小鱼1斤,斤数比条数少15.将"多9"与"少15"配在一起,当然不能完全抵消,必然是条数比斤数多,要让它们相互抵消,应当将"多9"与"少15"分别扩大若干倍,使多的与少的正好相互抵消。
于是得到下面的解法:
解: 大鱼:(1条10斤)斤数﹣条数=+9×5→+45(5条50斤)
小鱼:(16条1斤)斤数﹣条数=-15×3→-45(48条3斤)5条大鱼,48条小鱼.共5+48=53条,10×5+48÷16=53斤.再补充中鱼100-53=47条,就得到问题的正确答案:
大鱼5条,中鱼47条,小鱼48条.
例2的思路:要同时满足条件"人数=馒头数=100"太困难,先将条件放宽:只要求相等,不要求100.相等之后再同时扩大到100.
例3的思路:要同时满足条件"条数=斤数=100"太困难,先将条件放宽:只要求相等,不要求100.相等之后再同时增加到100.
显然,两个题的思路有共同点:①将困难问题变得容易;②将容易问题的答案变成困难问题的答案。
以上内容引自:
数学的神韵 by 李尚志
走进教育数学丛书
读后感
百鱼百斤问题的代数解法
中学生解这个算术题可以考虑代数解法。取大鱼y条和小鱼x条,整体重量等于条数,即x+y,据题意可列方程:
(1/16)x+10y=x+y
先把方程系数化为整数:
x+160y=16x+16y
移项得
15x=144y
因为15和144的最大公约数是3,所以方程可以化简为:
5x=48y
所以x:y=48:5
故得答案为大鱼5条,小鱼48条,中鱼47条。
学了物理可以用力学原理求解大鱼和小鱼的条数。
每条小鱼重量0.0625斤,大鱼重量10斤,整体平均重量1斤,故得ax=by
这里x表示小鱼的条数,y表示大鱼的条数。a表示距离,即小鱼重量到整体平均重量的距离。同理,b也表示距离,即大鱼重量到整体平均重量的距离。
据题意可知,a=1-0.0625=0.9375,
b=10-1=9

这样,我们得到相同的答案:大鱼5条,小鱼48条,中鱼47条。
用代数解法解决鸡兔同笼不在话下。古代名题甚至上了央视,题目呈现如下:
今有鸡兔同笼,上有头35,下有足94。问鸡兔各有多少?
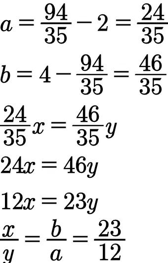
央视介绍了古人的经典解法,这里我们用代数解法。笼子里的平均足数是94/35,设鸡有x,兔有y,据题意可列方程:
2x+4y=(94/35)(x+y)
把方程化为整式方程:
70x+140y=94x+94y
移项得
24x=46y
即12x=23y
鸡兔比例为
x:y=23:12
所以鸡有23只,兔有12只。
我们也可以直截了当地求出鸡兔混合比:
ax=by

求出鸡兔比例后就得到答案:鸡有23只,兔有12只。
科学尚未普及,媒体还需努力。感谢阅读,再见。
