采用高光谱数据选择的特征光谱参数对马铃薯关键生育期叶片含水量的定量监测普适性更高。研究结果可以实时、准确地监测马铃薯叶片含水量,对于马铃薯株水分状态的评估具有重要价值,为马铃薯的快速水分诊断及节水灌溉推荐提供技术支撑。
高光谱遥感技术具有快速、准确、无损、连续获取作物生长状况和环境胁迫各种信息的优点,已广泛应用于作物水分监测,并取得了一系列成果。目前高光谱水份监测模型多以敏感波段或光谱指数等单一类型的估测因子作为参数,而结合多种特征光谱参数构建的水分监测模型及其精度稳定性方面的研究鲜见,尤其基于多种光谱特征参数共同建立的马铃薯关键生育时期水份实时监测模型研究未见报道。
本工作为提高高光谱水份监测模型精度和普适性,在马铃薯全生育期开展了不同灌水量试验,以叶片含水量表征马铃薯植株水分状况,采用目前较为先进的高光谱仪取马铃薯冠层高光谱数据,针对马铃薯整个生育时期植株含水量表征参数和冠层光谱反射率的变化规律进行特征光谱参数筛选,建立多种估测因子构成的马铃薯块茎形成期植株水分状况实时监测模型,为高产高效的马铃薯高光谱水份诊断体系构建提供坚实可靠的理论依据和技术支持。

01实验部分
高光谱反射率的测定时间与植株含水量一致;即在苗期、块茎形成期、块茎膨大期、淀粉积累期和收获期各取一次样,随机选取八个点进行测定,每个点测定5个数据。高光谱数据的采集使用便携式,该仪器的光谱范围337~2521nm。在数据处理过程中,为了保证模型对马铃薯整个生育期的普适性,选择2020年全生育时期不同灌溉处理的试验数据筛选表征叶片含水量的特征光谱参数(波段、一阶导数、指数),以2021年—2022年块茎形成期不同灌溉处理下得到的试验数据建立该生育时期叶片含水量的监测模型。采用独立验证样本,将其实测值与模型预测值进行回归拟合,以验证模决定系数(R2)和均方根误差(RMSE)作为指标评价模型的预测能力和迁移性;综合建模和验证模精度检验结果,选择推荐最优估算模型。共提取300组高光谱数据以及与之对应的300个马铃薯冠层叶片含水量数据,将数据集以7:3比例划分为训练集和测试集,具体的样本划分结果如表1所示。
表1样本划分

采用连续投影算法(SPA)对马铃薯冠层光谱反射率的原 始波段进行筛选,得到均方根误差(RMSE)和叶片含水量的 敏感波段选定数量,如图1所示。

图1均方根误差和叶片含水量的敏感波段选定数量

02结果与讨论
2.1模型预测结果比较
三种模型的预测结果比较如表2所示。由模型参数的比较结果,BP神经网络模型预测效果最佳,其次为支持向量机,而偏最小二乘回归模型的预测精度最低。
表2三种模型预测结果比较



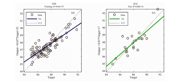
图2光谱与叶片含水量的 BP神经网络回归模型拟合效果
(a):训练集预测结果;(b):测试集预测结果;(c):验证集预测结果;(d):总预测结果
2.2模型迁移性比较
将BP神经网络模型、支持向量机回归模型和偏最小二乘回归模型的叶片含水量预测值分别与相同独立样本的叶片含水量实测值进行拟合并列出了不同估算模型的验证结果,如表2所示。模型检验效果表明,3种模型的预测精度都比较高,决定系数均超过0.96,RMSE值的范围在0.202%~0.266%;进一步说明了块茎形成期叶片含水量的高光谱监测模型迁移性较好。
表3不同估算模型的迁移性比较

03结论
针对马铃薯整个生育时期叶片含水量和冠层光谱信息提取了光谱特征参数,将其运用到马铃薯块茎形成期的叶片含水量估算模型构建。三种模型预测精度较好,由敏感波段反射率、特征光谱一阶导数和特征光谱指数构成的光谱特征参数组合,创建关键生育时期马铃薯植株含水量的定量监测方法具有较高稳定性。
特征光谱一阶导数和特征光谱指数均与叶片含水量的相关性较好,MSI和NDII与叶片含水量的相关系数在0.05水平显著相关,其余均在0.01水平极显著相关;
以上述特征光谱参数为自变量建立的BP神经网络模型预测效果明显优于支持向量机回归模型和偏最小二乘回归模型,其建模精度最高,可作为估算马铃薯块茎形成期叶片含水量的最优模型;支持向量机回归模型和偏最小二乘回归模型也能够满足马铃薯块茎形成期叶片含水量的精确估测。

推荐:
便携式高光谱成像系统iSpecHyper-VS1000
专门用于公安刑侦、物证鉴定、医学医疗、精准农业、矿物地质勘探等领域的最新产品,主要优势具有体积小、帧率高、高光谱分辨率高、高像质等性价比特点采用了透射光栅内推扫原理高光谱成像,系统集成高性能数据采集与分析处理系统,高速USB3.0接口传输,全靶面高成像质量光学设计,物镜接口为标准C-Mount,可根据用户需求更换物镜。