1877年,兰道(1877~1938)出生于柏林,他的父亲是著名的妇科医生利奥波德·兰道。他的教育始于柏林的法文学校(高中),随后不久,他就全身投入到了数学工作中。林德曼(1852~1939)是他的授业恩师之一,他在1882年证明了π的超越性,即π不可能是整系数多项式的根,从而解决了存在已久的"化圆为方"问题。从一开始,兰道就对解析数论感兴趣。1903年,他向19世纪的一些大数学家发起挑战,简化了素数定理的证明,而该定理在7年前才被证明出来。1909年,年仅31岁的兰道就成为哥廷根大学的数学教授,该大学在二战前一直是世界上最著名的数学研究中心。兰道是继任了闵可夫斯基的职位,闵可夫斯基因用四维空间解释爱因斯坦的相对论而闻名,他在45岁时逝世。兰道共发表了250多篇文章,并撰写了几本重要的著作,其中包括《素数理论及其分布手册》(共2册,1909年出版)和《数论讲义》(共3册,1927年出版)。
兰道将纯粹数学家的极致形象表现得淋漓尽致。他鄙视数学的任何实际应用,并极力避免提到它们,将它们视作"油污"。就连几何学也被包括在他所谓的"实际应用"中,他完全将其排除在讲授范围之外。在他的讲义及著作中,定义、定理和证明都是接连而来的,全然没有提及任何背后的动机。他的目标是绝对且绝不妥协的严谨。他所著的微积分教材只有372页的篇幅,远不及今天上千页的微积分教材。书中没有任何插图,因为插图就意味着用到了几何概念,而几何是他所说的"油污"。其实,前言已经定下了整本书的基调。正如他所言,全书的结构采用精炼的"定义-定理-证明"格式,偶尔在定理后会有一个例子来加以阐述。定义25引出了函数的微分,紧接着就是两个定理,其中一个定理是"可微可以推导出连续",另一个定理是"存在处处连续却处处不可微的函数",后面这个定理应归功于德国数学家魏尔斯特拉斯(1815~1897),他一生的目标就是消除分析学中任何带有直觉的痕迹,而他严谨的方式也是兰道所推崇的。
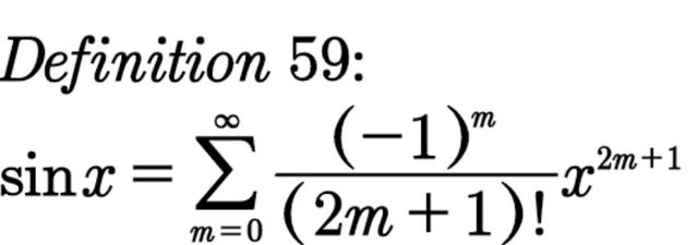
这里我们特别感兴趣的是关于三角函数的那一章。那一章的内容是这样开始的:
定理248:


接下来就是:
定义59:

用类似的方法定义完 cosx 后,紧接着就是几个定理,用以确立我们所熟悉的这些函数的性质。
定理258:
Sin²x+cos²x=1
证明:
1= cos0 = cos(x-x)
= cosxcos(-x)-sinxsin(-x)
=cos²x+sin²x
就这样突如其来,而且根本没有提及名字,数学中最著名的定理——勾股定理就出现了。
当今教材市场竞争激烈,需要依靠销路来保证出版的必要性,兰道的书恐怕不会有多少读者。然而,在二战前欧洲的大学里,高等教育只是极少数人的特权。此外,教授可以全权决定他的授课方式,包括教材的选择。大多数教授根本不用教材,而是根据自己的讲义来授课,学生要用其他的材料来补充这些讲义。在这种环境下,兰道的书能够给认真的学生提供一个真正的智力挑战,因此获得很高的评价。
读后感
以上内容引自《三角之美:边边角角的趣事》,[以色列]伊莱·马奥尔著,曹雪林、边晓娜译,人民邮电出版社2018.12,内容有删减。
定理258是我们熟悉的重要的三角恒等式,兰道给出了漂亮的证明。证明思路是使用余弦函数和差公式的和角公式:
cos(α+β)=cosαcosβ-sinαsinβ
把x看作α,把-x看作β。
因为cosxcos(-x)=cos²x,
sinxsin(-x)=-sin²x,于是定理得证。
我们来证明定理258有两种思路,使用勾股定理和不使用勾股定理。
第一种思路是使用勾股定理,详情请看下面的链接(我的往期文章):https://m.toutiao.com/is/4bCkA9tDuIQ/ - 如何用三角函数证明勾股定理? - 今日头条
第二种思路是不使用勾股定理,根据诱导公式和正弦和角公式,我们取α+β=90°的特例,就能够推导出定理(258)。
证明:
sin(α+β)=sin 90°=1
=sin αcos β+cos αsin β
=sin αcos(90°-α)+cos αsin(90°-α)
=sin² α+cos² α
即定理(258):
sin² x+cos² x=1
请注意,上述论证没有使用勾股定理,而是用三角函数证明了勾股定理。
欧拉用单位圆上的函数线定义任意角的三角函数。设点p是单位圆上的一点,OP是半径等于1,OP与x轴正方向形成的夹角位于第一象限。从点p向x轴作垂线,交点为M。
因为函数线PM,OM,OP构成了直角三角形,PM=sin α,OM=cos α,OP=1,所以,证明了定理(258)就等价于证明了勾股定理。







科学尚未普及,媒体还需努力。感谢阅读,再见。