从导数和极限的定义出发,我将证明你们在本科微积分中会学到的一阶导数规则。


如果你想从头开始做一个苹果派,你必须先发明宇宙——卡尔-萨根
大多数学生看到的微积分中的幂函数求导公式(Power Rule,下称幂法则),通常没有证明或只有部分证明。事实情况是,学生从一个完整的证明中会学到更多的东西。即使你觉得这些教科书中给出的证明已经足够,再多一个证明也无妨。在这个证明中,我不仅将证明幂法则,还有:
证明积法则
介绍归纳法的证明
证明链式法则
介绍一点实分析
证明使用的要素在这个证明中,我将只使用下面的“工具”:
极限的定义
导数的定义
任何你在标准代数课程中学的东西
包括指数法则和各种代数结构(整数、有理数和实数)的属性
这些限制将使我无法使用
对数的导数
指数函数的导数
或二项式定理
我见过的大多数证明都至少使用了其中之一。
证明的结构我的证明将有以下结构:
证明积规则
证明n是整数的情况下,使用积规则和一些归纳法
证明链式法则
用链式法则证明n是有理数的情况
证明n是一个无理数的情况,从而证明所有实数的幂法则
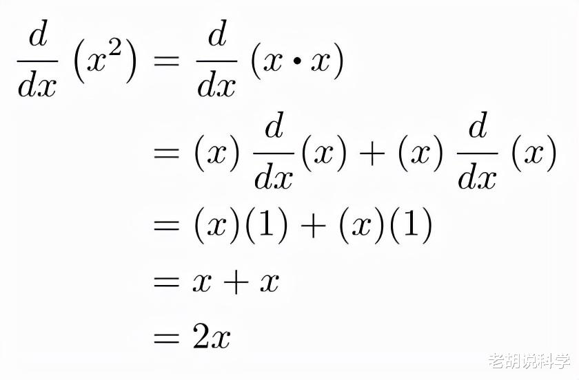
积法则(The Product Rule)我们知道,x^4= x • x^3。如果我们知道如何求x和x^3的导数,以及两个函数的乘积的导数,我们就可以求x⁴的导数。出于这个原因,我们将证明积法则。
我们要从导数的定义来证明积法则。首先,定义一个函数z(x)=f(x)g(x)。然后,z相对于x的导数。由于我们谈论的是任意函数,我们必须使用导数的定义。

可能没有什么能让你眼前一亮,在这种情况下,我们要寻找一些方法,以不同的形式重写表达式。既然表达式中有一个f(x+h)和一个g(x+h),我们就应该设法把f(x+h)-f(x)或g(x+h)-g(x)带入表达式中。这样我们就可以用导数来代替它们。在这种情况下,我们可以使用一个经典的技巧,即添加一个0。例如,我们可以把f(x+h)-f(x+h)加到分子中,这样就不会有任何变化。我们要把( f(x+h)g(x)-f(x+h)g(x))加到分子上,这时我们可以做代数:

为了让证明更容易,我将分别处理每个极限,然后把它们放回一起。第一个极限是:

第二个极限是:

因此,我们已经证明了积法则,如下图所示:

有三种情况:
n = 0
n > 0
n < 0
如果我们证明每一种情况,我们就完成了这一部分。
证明n=0的情况

这就完成了证明。
证明n>0的情况
如果我们使用导数的极限定义对x、x²、x³……求导,你可能会看到这些导数遵循一个简单的规律:幂法则。证明n=0和n=1的情况是很简单的,因此,我们可能想尝试用归纳法证明。
归纳法的证明
要用归纳法证明什么,需要:
证明一个基本情况(个例)
并证明每个情况都能证明下一个情况(弱归纳法)或证明所有已证明的情况都能证明下一个情况(强归纳法)。
强归纳法和弱归纳法是等价的,但我不能在这篇文章中讨论这些细节。对于这个证明,我们要使用弱归纳法。在给你们展示了这个证明之后,我会试着给你们一个直观的感觉,为什么它是可行的。在此过程中,我将稍稍打破传统。通常,弱归纳证明指的是步骤2中的情况n和n + 1,但我将使用n - 1和n。用n + 1替换n会将表达式转换回传统形式。
基本情况
本节将很快,因为它只是代数。

归纳步骤
在证明的这一部分,我们将证明,如果幂法则在n=m-1的情况下成立,那么m的情况也成立。这一部分我选择用m而不是n,因为我已经用n表示x的幂。如果幂法则在n=m-1时不成立,那么n=m的情况是否成立就不重要了,所以我们将假设幂法则在n=m-1时成立。

归纳法的直观解释
如果你不相信这个证明是有效的,那么请选择任何一个自然数(这个证明对你选择的任何数字都有效),但我将向你展示n=3的情况,你应该看到一般的模式。首先,我已经证明了n=1的情况。现在,我将在归纳步骤中向你展示n=3这一特定情况下的证明:

如果你对n=2的情况不相信,那么我们可以重新使用归纳步骤中对n=2的特定情况的证明:

我只对n=1的情况使用了幂法则,所以你应该相信幂法则对n=3(和n=2)的情况都有效。
如果你碰巧是一个计算机科学家或程序员,你可能会认识到这是一个递归论证。在许多情况下,归纳法和递归法都可以描述一些东西,但它们会向相反的方向发展。
证明n<0的情况
现在我们可以使用商法则来证明这种情况,但是积法则更容易记忆和使用。相反,我们将使用以下事实:

这些函数在x = 0处没有导数,所以我们不关心。我们可以取两边的导数,使用积法则,并求出导数:

在这一点上,我们已经证明了所有整数的幂法则。
证明链式法则
用来证明积法则的方法是有效的,所以让我们试试类似的方法。由于我们想要的是h→0的情况,所以我们想要c-x→0,这相当于c→x,此外,x+h=c。把这些代入导数的定义:

你可能意识到,当c接近x时,g(c)接近g(x)。如果你看过一些函数中的函数的导数的例子,你可能会注意到一个规律(试着求(x + c)^3或(x^2+ c)^2的导数,然后提出(x + c)或(x²+ c))。 你可能会想到,取外函数相对于内函数的导数,这看起来像:

如果你定义一个新的h=g(x)-g(c),并注意到当c接近x时,h接近0,你可以把上面的导数重写如下:

由于g(c)只是一个数字,这个表达式是f(x)在x=g(c)处的导数。我们知道如何计算这个表达式,所以如果回到原来的导数,我们会想在底部得到g(x)-g(c)。在这种情况下,可以使用另一种经典技巧:乘以1。就像加一个0一样。我们可以选择许多等于1的表达式,但是(g(x)-g(c))/(g(x)-g(c))会让我们得到正确的答案。

最后,我们得到链式法则:

这个证明存在的问题
我们在x附近使用一个a,使g(a)=g(c),那么我们实际上没有乘以1,而是0/0(这是没有定义的)。对于我们所做的,这个链式法则的证明仍然有效因为只有当a = c时g(a) = g(c)。如果试图在x=0处求一个类似sin( 1/x )的函数的导数,你会发现一个问题,因为你永远无法在x=0周围找到一个区域,函数在这整个区域内都是有定义的。为了绕过这个限制,你可以通过解析延拓来堵住这些漏洞。在这个证明中,这对我们来说并不重要,所以我将继续往下。
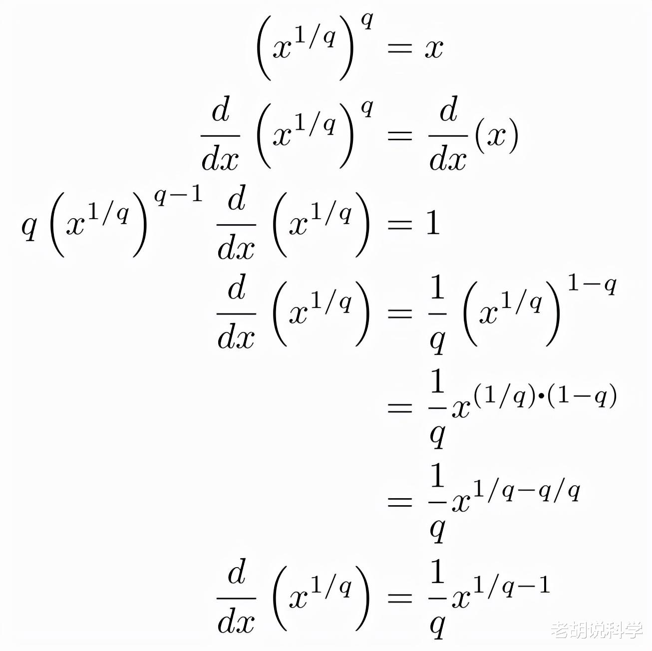
证明n为有理数的情况我们将使用一个类似于证明n<0的方法。例如,我们知道如果对一个数求第q次方根,然后取它的第q次幂,就会得到开始时的数字。在数学中,这个表述是这样的:

没有人会试图在一个函数不存在的地方取它的导数,所以我们只关心函数存在的地方的导数。在n为负整数的情况下,我们将遵循同样的过程。取两边的导数,使用链式法则,并求出导数:

为了得到所有的有理数的情况,再考虑n=p/q时的情况,其中p和q是整数:

这就完成了这一部分的证明。
证明n为无理数的情况引用维基百科上关于幂法则的表述:
我们要把这个值定义为接近无理数幂的有理数幂级数的极限。这一部分的证明可能有一些错误,因为我从未见过有人以这种方式证明它,所以如果我搞错了,请在评论中告诉我。
每个无理数都可以被表示为有理数级数的极限。那么现在,让我们来设定一些定义:

如果r=π,那么R4=3.1415。如果r=sqrt(200),那么R3=14.142。换句话说,Rk可以得到小数点后的k个数字。很容易看出,这个有理数级数的极限是r,你可以证明这一点,因为Rk和r的差值趋于零。所以,现在我们有两个极限,k→ ∞和h→ 0:

如果我们先取k的极限,结果是:

你可能认为极限的顺序并不重要(在这种情况下是不重要的),但在一般情况下,这并不能保证。如果我们能证明两个极限都是点态收敛的,并且至少有一个极限是一致收敛的,就能保证任意阶的极限都能得到相同的结果。这个事实被称为摩尔-奥斯古德定理(Moore-Osgood Theorem)。
点态收敛
点态收敛意味着:

无论在域中选取什么x,函数、都会收敛到x处的函数值。
我们已经证明了h极限是点态收敛的,因为它要么是x的导数的有理数次幂(我们在本文中已经证明它是收敛的),要么是x导数的无理数次幂,导数将是连续的。另一个极限也是点态收敛的,因为x^r和x^Rk之间的差值随着k的增加而趋于零。
一致收敛(均匀收敛)
一致收敛比点态收敛更有力。

对于域中的所有x和一个任意的ϵ>0,必须选择一些自然数N,使得对于N之后的任何k,fk(x)和f(x)之间的差异都小于ϵ。
例如,假设领域是(4,5),r=sqrt(2),以及ϵ=0.0001。对于k>4,fk(x)和f(x)之间的差值小于0.0001,所以N=4。我不想把一致收敛性的整个证明讲一遍,但我可以给出一般的概述:
只关注x^r,因为在同一域上一致收敛的两个函数的和或差也会在同一域上收敛。
首先,选择你要取导数的x。我们把它叫做c。
选择一个小的h,使0不在(c-2h,c+2h)内。在0处,极限可能不存在无理数,所以我们并不关心。
让域是(c - 2h, c + 2h)。
由于x^r对于所有有限的r来说在有限域上是有限的,所以x^r和x^Rk之间的差值,对于域中的每一点也是有限的。
既然每一点的差值都是有限的,那么这个差值一定有一个最小的上界。
由于这个差值在每一点上都趋于零,所以最小上限也必须减少到零。
既然最小上限为零,那么在某一点上它一定小于你选择的任何ε。
因此,我们已经证明x^Rk在相关区域内均匀地收敛于x^r。
因为fk是x^Rk在定义域内两点之差除以一个非零常数,所以k的极限也是一致收敛的。
所有无理数
现在,如果我们使用摩尔-奥斯古德定理,我们就完成了证明:

Q.E.D.
摩尔-奥斯古德定理
一方面,引用一个没有证明的定理违背了标题中的 "从0开始 "。另一方面,这篇文章是为高中到大学的学生准备的,而实际分析可能会变得相当繁琐。下面是以前的文章和接下来的计划:
极限——大学数学的基础和核心,你真的理解了吗?这篇文章从形式上确定了什么是极限。
接下来我将专门写一篇关于“点态收敛与一致收敛”的文章。
以及一篇关于“改变微积分的极限”的文章,其中会证明摩尔-奥斯古德定理。敬请关注“老胡说科学”。
结论如果我们允许自己使用e^x和ln x的导数,我们可以使用证明:

如果我们愿意,我们可以根据e^x、ln x的定义和链式法则计算这些导数。无论哪种方式,最终都会从头证明幂法则。
四岔口见大鹏
一脸懵逼的进来,一脸懵逼的出去
用户15xxx07 回复 11-08 09:40
我本想分享给学生,但一想,算了
听歌学会了写歌
你这样,会把初学者弄晕的。简单点,当n为整数时,可直接△y=(x+△x)^n-x^n,则△y/△x的值只有一项:nx^(n-1)不带△x,当△x→0,△y/△x≈nx^(n-1)。
用户94xxx53
这是学英语吗?没有个数字,全是英文。
探索永无止境 回复 01-09 12:31
全是英文,你确定不是在说笑
路见不平躲着走 回复 01-18 06:51
所以这是西方人的文化入侵,我们要坚决抵制
用户13xxx99
相对论不成立的原因是作为基础的质能方程式缺少了一个最基础的理论支持,那就是,规律的可控性。关于这个问题,让几个学画程度从初级到高级的小朋友或老中青年用不同的速度在纸上画长短不一的直线或曲线就够了,当速度越来越快……
格兰芬多
有点东西,你已经掌握了微积分的原理[点赞]
连杰12
好文分享一下你的时候
连杰12
好文分享一下你的时候,,
用户10xxx99
进来前以为自己懂,看完后才知道自己不懂
用户15xxx92
很优秀
用户17xxx63
是什么让我大胆的点进来!
连杰12
好文
牧雪
这是抄教材吗?