今天中午,在网上看到了2025届天津市三校(天津市第一中学,天津市耀华中学和天津市实验中学)高三开学缓适性练习交流试卷(整套试卷见后),其中压轴题题目如下:

这道题目大概率是改编自2016届哈尔滨六中开学考试的一道题目:

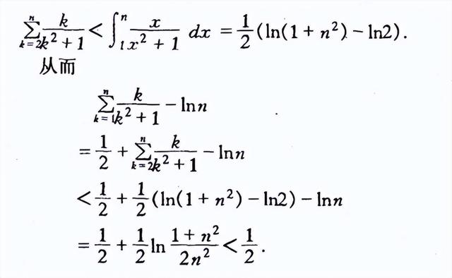
不过题目最开始的出处是2009年全国高中数学联赛加试的第二题,这里摘录一下这道题目的背景和一些有关知识的拓展,材料来自浙江舒老师,在这里表示感谢!








这道题目也说明了近年来天津高考数学试卷的一个特点:就是向深度和广度拓展,有关这方面可以参见笔者之前文章《从近两年的天津高考数学试卷聊聊今后可能在广度和深度上的变化》,而且这道题目也符合笔者前两天在《从天津和北京的两道高考题简单聊聊改编自数学竞赛题的高考命题方式》一文中所提到的命题方式。
上述有关内容还可以解答2012年天津高考压轴题第二问和2012年辽宁高考第21题第二问,具体可以参见笔者之前文章《从全国高中数学联赛题目到高考题目》。
最后附上整套试卷:












