最近,看到天津市南开中学高二的一道练习题,题目如下:

这道题目其实是仿2024年全国新高考二卷的压轴题:

这道题目是圆锥曲线和数列结合的题目,之前的高考中曾出现过几次,具体可以参见笔者之前文章《2025届天津考生或许应该注意一下圆锥曲线和数列结合的题目》,那这里还应该注意到这类题目其实还是“互相包含”的数列题型。
所谓“互相包含”类型的题目,在2000年数学竞赛中就曾出现过,而在随后的各地区预赛题目中曾出现过,比如2017年全国高中数学联赛吉林省预赛的11题和16题:

这道题目的解答如下(不包括16题最后一问):


2017年全国高中数学联赛吉林省预赛的第10题也是这种类型(该题也是2014年全国高中数学联赛山西省预赛的题目):

解答如下:


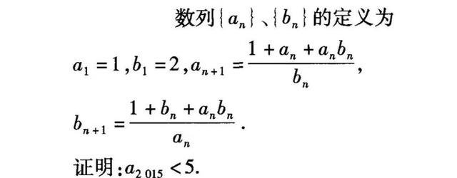
而有的还是分式类型的:

解答如下:


当然,这类题目不一定会出现在2025年天津高考数学试卷中。不过其它地区既然考过,而天津的顶尖学校又拿来作为练习题,笔者认为这类题目对天津的考生还是有它的意义所在,所以建议学有余力的考生还是需要注意一下这类题目!