
在数学中,度规或距离函数是给出集合中每一对点元素之间的距离的函数。一个带有度规的集合称为度规空间。在微分几何中,度规的一个重要来源是度规张量。度规张量允许通过积分来确定沿着曲线的距离,从而确定度规。
在广义相对论中,时空是一个光滑的、坐标友好型(coordinate-friendly)的空间,称为流形(manifold)。度规g允许我们严格地定义这个流形中向量的距离和长度。我们把度规看成是一个矩阵,在流形上从点到点变化,解这个度规的方法是解爱因斯坦场方程。
那么问题来了,在广义相对论的框架内允许什么样的度规。一般来说,我们不可能写下任何我们想要的度规。那么,在自然界中哪些度规是被允许的?是否有一些方程式可以让我们确定一个度规的演变?
事实证明,物理上允许的度规是爱因斯坦场方程的解。爱因斯坦的场方程如下:

在右手边,符号T代表能量动量张量。能量动量张量编码了大质量物体(比如中子星)在时空中的能量。
左边包含了描述时空的关键属性。R表示时空有多 "弯曲"。左边的第一项是里奇曲率,它描述了宇宙的三维空间与平坦空间相比是如何弯曲的(弯曲程度)。它有两个希腊字母下标,因此它是一个2级张量(所以我们可以把它写成一个矩阵)。第二项描述了与平坦空间相比,体积是如何扭曲的。符号R被称为里奇标量。第三个项是宇宙学常数,带字母g的项是度规本身。
在这篇文章中,我想介绍一下这个方程是如何推导出的。
爱因斯坦-希尔伯特作用我们把度规当作一个动态的物理变量。首先通过在固定时间内对两点间的拉格朗日积分来构造一个作用;然后,为了找到经典粒子的路径,我们要找到使作用量最小的路径。
为了在广义相对论中做到这一点,我们将构建一个包含度规的作用。为了构建这个作用,必须想出一些合理的度规函数,然后测试所得到的运动方程是否与我们在经典情况下得到的一致。
一旦构建了一个作为度规函数的作用,我们就会尝试将这个作用最小化,以求得确切的度规是什么。由此得到的度规就是爱因斯坦场方程的解。将作用量最小化是一项技术上的挑战,但是我们只需要做一次计算。
构建爱因斯坦-希尔伯特作用我们把从度规中构建的作用称为爱因斯坦-希尔伯特作用。我们唯一要处理的对象是度规g。一个物体的 "体积 "完全取决于时空中的距离是如何定义的。我们可以用度规来定义时空中的体积概念(取其行列式的平方根)。度规的行列式的平方根是我们可以使用的一个自然的体积形式。这就给了我们一个提示,作用看起来应该像:

现在,我们唯一能做的就是把里奇标量提出来。里奇标量是一个实数,在流形中的每一点上都有一个值。当里奇标量在某一点为正时,如果有欧几里得度规,围绕该点的小球的体积比半径相同的小球的体积要小。如果里奇标量为负则相反。下面粉色的球是有度规g的球的体积,棕色球是用欧几里得平面度规感知的体积。

因此,构建作用的自然方式是把里奇标量放在体积形式的前面。这在下面的方程中显示。里奇标量用符号R来表示。

同样,里奇曲率张量也衡量空间的曲率与平坦空间的不同。
爱因斯坦-希尔伯特作用的极端为了推导出爱因斯坦场方程,我们需要找到使作用量最小的度规。为了做到这一点,我们将对度规进行微小的扰动,看看作用S如何变化。我们希望作用S会发生微小的变化,我尝试写出一个表达式来说明作用发生了多大变化。
在数学上,我们把一个微小的变化称为 "扰动"。因此,为了扰动度规,在度规上增加一个微小的项。这个微小的项是用希腊的delta符号表示的。我们对度规的扰动看起来像:

当我们改变整个式子时,诀窍是把里奇标量写成里奇张量与度规缩并的形式。然后,当看到一个很小的变化时,我们应用乘积法则,把所有的东西展开。我们必须记住体积的形式并且考虑当度规改变时体积的形式是如何变化的。

为了得到运动方程,我们需要处理积分中的项,从而分解出一个可以设为零的普通表达式。要做到这一点,需要简化许多项,得到:

由字母X代表的张量是一个边界。当我们对度规的任意变化施加平稳性的条件时,就得到了被积函数的一个条件。这就得到了真空爱因斯坦方程(因为我们假设没有质量或能量)。

右边的方程正是在没有能量或质量的情况下的爱因斯坦场方程。但是,我们假设大部分的常数都是1。
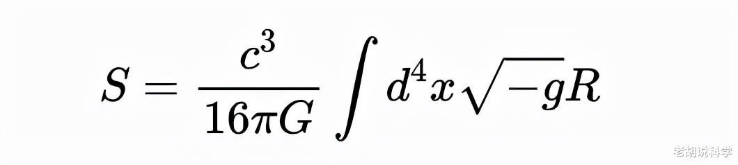
加入基本常数我们可以使用量纲分析来填充这里的常数。作用S的量纲是ML^2/T,度规是无量纲的,而R的单位是1/L^2。我们需要作用是无量纲的,因此要在它前面加一些常数来平衡这些量纲。最后得到作用S是:

有了这些常数,我们就完全得到了爱因斯坦的场方程。
我净常乐
曲率由矩阵的形式表达,本身就说明了时空间与复数息息相关。
漫时光 回复 11-13 09:50
矩阵只是表明影响的维度多罢了
吞噬黑洞再造宇宙
引力系数呢?根本不能从广义相对论方程中算出来!
元道
好
连杰12
好文分享一下你的时候
连杰12
厉害[点赞]
漫时光
老胡,硬核科学[点赞]
用户14xxx92
tr=rr
用户10xxx76
物理无外乎道理。这篇文章应该描述的很清楚,但是又似乎把简单的东西说复杂了导致看不懂。v=s/t可以解读成速度与行进路程成正比与所需时间成反比。如果可以用这种方式去解读你文章中的方程也许更容易让人理解。还有我不确定这个方程是正确的,因为在我的次元论下对物理方程的判定是有一定的限制的,如果这个方程不符合次元论那么这个方程很可能有问题。