
提到最美丽的方程,很多人首先想到的可能是欧拉恒等式,

它是复分析中建立三角函数与复指数函数之间基本关系的数学公式。物理学家理查德·费曼称这个方程为“我们的宝石”和“数学中最卓越的公式”。数学中还有一个非常美丽的公式,但鲜为人知,它就是黎曼函数的函数式方程(Riemann’s Functional Equation)。

在本文中,我将推导上述方程并了解其组成部分。为此,我们需要从更容易理解的地方开始。
方程的对称性什么是对称?简单说,一个物体(比方说一只花瓶或一张脸),如果从不同的角度去看,或者从镜子里看,它的样子保持不变,那么我们就说这个物体是对称的。但怎样才能把这种说法精确化呢?从不同的角度去看,它的样子保持不变,这句话的确切含义是什么呢?想象在你面前有某个物体,这个物体绕某一条直线或某一个点旋转了一下。这样操作之后,这个物体的样子是否与原来相同?如果相同,我们会说这个物体对于这种操作来说是“对称”的。例如,取一个圆,让它绕其圆心随意地旋转任何一个角度,结果得到的图形都与它开始时的图形完全相同。

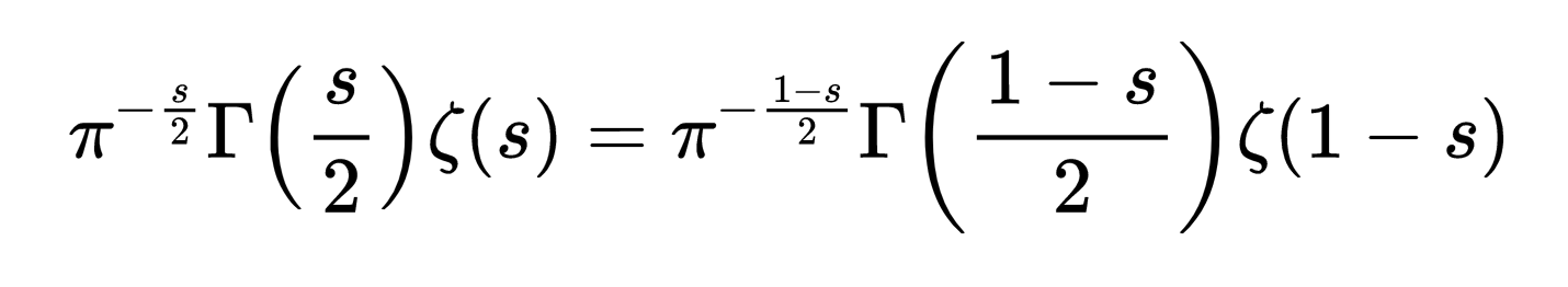
方程也可以有对称性。在等式中

我们称左边为Λ(s)。这个方程表明Λ(s) = Λ(1-s)。也就是说,通过用1-s替换s,我们“回到了起点”。这是反射对称。所以黎曼函数式方程是关于对称性的。更值得注意的是。这个方程显示了Gamma函数和黎曼zeta函数之间的关系。
Gamma函数
Gamma函数是数学中最重要的函数之一。从统计学和组合学到数论和物理学,gamma函数无处不在。它是由反常积分定义的,

其中z为Re(z) >0的复数。
Re(z)表示复数z的实部。
Gamma函数有自己的几个函数式方程(functional equations),如

如果n是一个自然数,那么Γ(n) = (n-1)!,例如Γ(5) = 4!= 4⋅3⋅2⋅1 = 24。通过解析延拓,我们可以理解复平面上的Gamma函数,除了有单极点的非正整数。Gamma函数还有其他与之相关的重要的函数式方程,例如,著名的欧拉反射公式,

zeta函数
黎曼ζ函数是解析数论的明星。这个函数的零点的分布与素数的分布相关,因此我们对这个函数有极大的兴趣。
当复数s的实部大于1时,我们可以用无穷级数来定义zeta函数,

当Re(s) < 1时,我们需要通过解析延拓得到另一个定义。它与质数的联系通过它的欧拉乘积表示为质数的乘积就很清楚了,

泊松求和公式
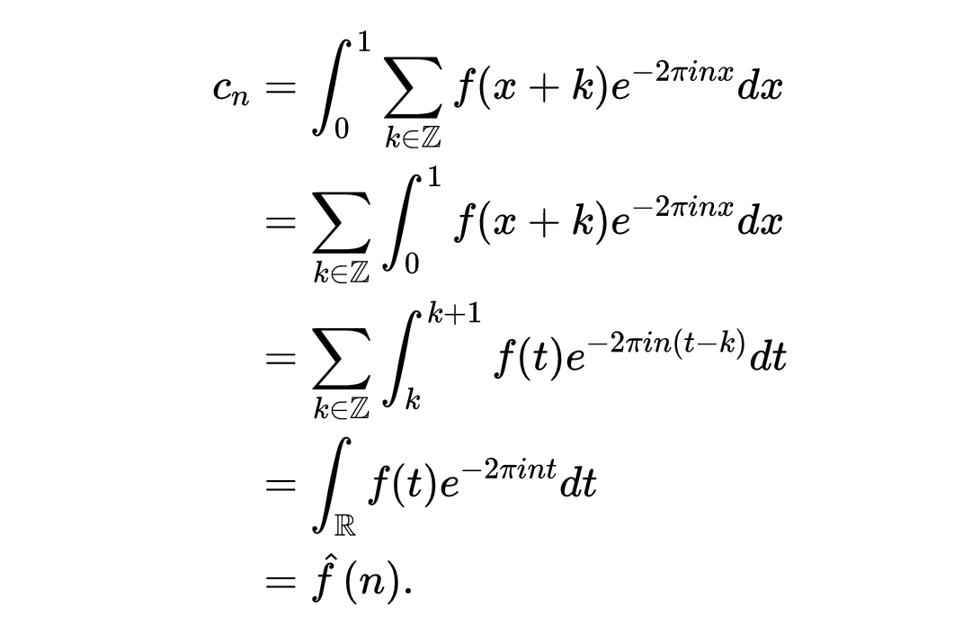
这个公式值得专门写一篇文章。这个定理指出

右边的和是f的傅里叶变换在整数上的值。让我们定义一个well-behaved函数f的傅里叶变换为积分,

这里的符号表示积分是从负无穷到正无穷。我们简短地来证明泊松求和公式,我们只需证明下面等式即可,因为设x = 0就得到了上述公式,

首先,设f是一个具有定义良好的傅里叶变换的函数。然后,我们定义一个函数F

显然,这个函数是有一个周期的周期函数,这意味着它有一个傅里叶级数。计算F的傅里叶系数,我们得到

现在,我们知道F等于它的傅里叶级数

这就是我们想要证明的。
Theta 函数
有一类重要的函数叫做雅可比函数。我们只需要研究其中的一个——最简单、最经典的一个。在本文中,我们用实函数来定义theta函数

请注意,k在整数上运行,因此也可以写成自然数上的级数,

我们把左边的级数称为ψ(x),

在这种情况下,有一个简单的关系θ(x) = 1 + 2 ψ(x)。这个函数的关键特征之一也是一个函数方程。这个函数是满足的

为了证明这一点,我们将使用泊松求和公式。第一步是将下面的积分塑造成更易于处理的东西。我们有

看级数中的积分,我们可以做一个替换把它看作是复平面上的围线积分。然后我们可以用柯西积分定理来证明它实际上等于沿着实线上平行路径的积分。由此得到的高斯积分是一个经典的高斯积分,在数学中随处可见。也就是说,

把这个结果放到函数的泊松求和公式中,我们得到了想要的结果。这意味着,

现在,我们将使用已经建立的工具来证明函数方程,

首先,我们用替换的形式来定义函数,用参数s/2来写它

其中我们需要Re(s) > 0,如上述定义。现在我们做如下替换

得到

因为这对所有的自然数都成立,所以我们可以把两边的所有自然数相加得到

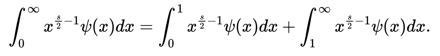
这就是上面的ζ函数和ψ函数。我们可以把它写成

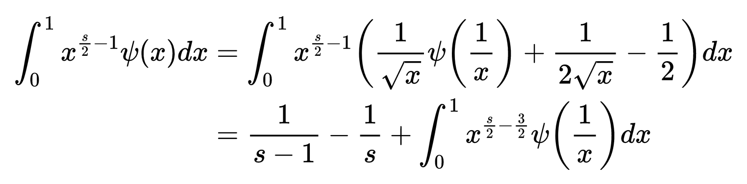
现在我们可以把积分拆分成两个区间然后利用ψ函数的变换性质,利用下面的性质,

放大右边两个积分中的第一个,我们可以看到ψ的变换得到如下结果

现在我们可以做一个简单的替换把两个积分合二为一。得到的积分是

注意,右边的表达式在s和1-s处的值是相同的。有时你会看到黎曼函数方程的形式略有不同。如果我们使用欧拉反射公式,我们可以得到一个正弦函数表示的因子

它清楚地表明黎曼ζ函数在负偶数上消失了,这要归功于正弦因子。它没有在正偶数上消失的原因是它遇到了一个来自函数的极点。
最后
zeta函数有许多紧密相关的“表亲”,叫做狄利克雷L函数。它们非常相似,最简单的函数就是黎曼zeta函数本身。它们都可以被定义为一个级数和一个欧拉积。他们满足

更详细的讨论超出了本文的范围,但看看与上面的黎曼函数方程的相似性。因子包含一个所谓的高斯和。关于这个一般结果的美妙之处在于,它适用于黎曼zeta函数以及上面提到的所有密切相关的表亲。
它们都有这种对称性,它们都被期望满足黎曼假设,即它们所有的非平凡零点都在对称线上。在zeta函数的情况下,对称线是垂直线Re(s) = 1/2,也称为临界线。
梳碧湖砍柴人
哈哈,我想看看有没有民科喷这个[呲牙笑][呲牙笑][呲牙笑][呲牙笑]
哆啦A梦 回复 01-30 15:24
民科连符号估计都不一定看懂,找不到角度开喷
岳xy1 回复 哆啦A梦 01-31 15:49
爱迪生丶祖冲之就看不懂,因为他俩是民科。
用户65xxx67
一脸懵逼的进来,一脸懵逼的离开
蜡笔小球 回复 04-01 21:12
俺也一样
御用闲人
本来数学成绩还过得去的,学了微积分再也看不懂数学了[笑着哭]
出来挨打 回复 03-29 14:27
微积分是门槛,那就还是过不去嘛。。。[笑着哭]
老姜
以前是文字都认识,就是看不懂,这回好了,文字都不认识几个。
老罗
我这高中毕业生到底是有啥胆量敢点开这个新闻[笑着哭]
李淳风
大数据脑子是不是坏了,给我推这个?
用户13xxx29 回复 07-17 12:27
不是大数据脑子坏了,是它把知识推给了脑子坏的人!
Ydccaep
悖论斯坦,背叛数学由公理演绎证明特称命题的传统,号称证明全称公设公理。以光速不变假说祸害相对速度公理,祸害绝对时空,祸害能量质量引力等物理基本概念和认知方法。祸害数学,祸害物理,终身搞骗,祸害极大极深极广。
薛定谔的主义 回复 03-19 13:28
给你点赞是让你知道自己有多搞笑
Ydccaep 回复 薛定谔的主义 03-19 13:31
请直接说。[呲牙笑]
Ydccaep
悖论斯坦五大骗术:: ——1.蔑视自然创造反公理假说(骗),由反公理假说演绎方程(骗),号称证明全称假说命题(骗)。 ——2. 三流数学假装物理,创造虚幻数学“物理概念”,破坏基本概念和认知体系。尽搞些莫名其妙的虚幻数学“时空”、虚幻数学“质量”、虚幻数学“能量”。站在不同位置赏月(三维)的是人,看昨天明天日出(四维)的是活鬼(悖论斯坦)。 ——3. 以必然有不确定性的观测精度攻击确定性的引力公理,以认知进化否定绝对真理。以宏观现象为基础的电磁理论描述微观粒子电磁行为明显不足,以太灾难不奇怪,他却借机破坏伽利略变换! ——4. 指鹿为马,指马为鹿,“波粒二象性”,破坏认知自然的最核心根基——确定性。狗都认识自己的主人,不搞二象性。 ——5. 无中生有创造假说(鬼),用解释稀奇谎称证明且无耻于悖论(已有效证伪),却要求别人证明没有鬼,搞万能骗术!………水星进动证明的大笑话:(A).号称证明全称公设是欺骗。 (B).忽视了水星的电磁力等等影响因素(1974地外水星探测),居然弄出高精度?不是活见鬼就是见活鬼!
wg22
只要涉及干货方程,民科就不敢放肆[笑着哭]
juven
我是谁,我在哪,我在做什么?
胡绍国
看球不懂[笑着哭]
没想好名
没有一个中国人命名的
HERO
何仇何怨啊?大立春的给我推荐这个[横脸笑][横脸笑]
元道
好文章[点赞][点赞][点赞][点赞][点赞]
用户15xxx41 回复 05-27 21:28
我怀疑你是来凑热闹的
大鲜
就算985毕业的 也看不懂
大鲜 回复 。。。。。。 04-08 23:09
我敢说 华罗庚也看不懂 华研究的主要是数论 概率。不服来辩
。。。。。。 回复 04-02 01:01
能看懂的,你就是华罗庚了
用户10xxx76
愚蠢!(抱着公式顶尖就是个数学家,想转成科学家请把个人逻辑思维填到公式里!)看了半天大半公式没看懂,但是能看懂的都没超出我的次元论!大半的方程结果都是封闭曲线,参变量在范围内都无法改变其数学性质,然后再从改变数学性质的问题给一个取值范围,到是解释解释超范围的结果会如何啊?没有,什么都没有,甚至于拿出来的公式也是只知其然不知其所以然!这也好意思发文?都知道欧拉公式为最美公式,原因是3个参数均为特殊取值没有一点浪费,但是你没看到欧拉公式没有参变量吗?甚至于连个曲线都不是!后面几个函数都是数学领域,也仅仅是范围与极限之间的作用关系而已,虽然看不懂方程但是一眼就能看明白这些方程都是数学模式下的有限方程,无法逆推或者逆推取值有变化!简单点说一个函数代表一条曲线,一个等式代表这个曲线不是纵移横移就是纵压缩橫压缩,参变量代表变化趋势,参变量有取值范围而超限值无法逆推,给你个超限值的变量最后就成量子力学了!
无言 回复 02-13 19:29
气愤?弄不明了?
路见不平躲着走 回复 04-04 07:17
我也看不懂,但我没你这么无耻
小光
小编过分了,这就算是大学物理专业的人也看不懂
。。。。。。 回复 04-02 01:00
这个和物理没啥关系。这是黎曼猜想,属于顶尖数学,高斯都解决不了的难题,千禧年七个未解数学难题之一。
ㄧㄧㄧ
直接看评论
阿拉的神灯
神奇优美深刻的两个函数[点赞][点赞][点赞]
Ydccaep
万能骗术之质能方程,泛化虚化破坏能量公理概念,>>远远胜过,任何东西能变油+油能变任何东西。。。到底是质量获得能量还是质量变成能量??? ………动能公式,清清楚楚明明白白,到处用天天用,是质量获得能量的经典公理。………能量概念清清楚楚,是对物质运动状态的描述,居然敢欺骗说物质与能量等效???何其狂妄可笑???………他爸爸有动能,他爸爸也有势能,动能和势能都能变成他爸爸。他到底有多少爸爸呀?质量与力是一切微观宏观世界的根本,他造假(创造假说)祸害质量概念就当儿戏!!!———无中生有解释稀奇的万能骗术::科学都是假设(嘲笑诚信观测归纳),场有作用力,真空里有波,质能等效转换,穿墙而过,刀枪不入,纠缠女朋友。。。号称,只是科技还没达到!………无中生有==时空无限而永远不可能证无,当然也永远不可能证有==欺骗无底洞!
黑暗前的黎明
此问题关系黎曼猜想是否成立 文章还有个求和,你若证明了它等于-1还是不等于-1,你肯定能得大奖。
。。。。。。 回复 04-02 01:03
连高斯这样的数学大神都证明不了的,我们凡人就算了吧。当然你证明了,第二年菲尔兹奖和阿贝尔奖绝对是你的
致敬畏
学完高数1,你一只脚踩在了数学殿堂的门槛上~我高数1没学好,正在退着走~
我提供能量反应
公式是道数,得道得真理[点赞][点赞]
石柱山郎
评论区的应该都是高材生
阎王生死令
只想知道,这些数学公式的符号是怎么才能打出来的
道法自然 回复 05-27 22:13
任何一个常用输入法点工具,选符号输入,然后选数学符号。
我净常乐
镜像不是对称?
鍀報
[点赞]
呦鸣2012
看不懂看不懂
写经人
有兴趣的人可以在b站看《质疑相对论》
我有个朋友
天书[点赞]
程太喜
这个方程有多种方法可以得到,似乎也没有那么重要。
。。。。。。 回复 04-02 01:04
民科又来了,你天天看见东西往下掉,咋不见你发现万有引力定律呢
Ydccaep
无中生有的质能方程,号称有鬼解释稀奇,然后号称证明,别人当然无法证明鬼不存在。这是万能的假说骗术。 ………黎曼几何公设,与欧氏几何公设不矛盾,都是源自观测经验的理想抽象,不是假说,也不神奇,没有预测真实,用于表达真实!创造假说猜测自然如同猜测自己的后脑勺一样没有可能性!…………必然是骗!